[最も共有された! √] cp-7020-06 112723-Cp-7020-06
CCCP Men's Shchuka CP 435mm Silver Dial Leather Watch $4799 8 left CCCP CP Men's KASHALOT DRESS Automatic 44mm Watch $5299 9 left CCCP CP7043 Men's ALEKSANDROV Automatic 43mm Watch $59 1 soldCALGARY – Canadian Pacific will be painting 10 of its newly rebuilt SD70ACU locomotives into its historic tuscan red, gray, and gold paint scheme On Monday morning, CP shared an image on social media of the two freshly painted locomotives, Nos 7010 and 7015, with the message, "We take pride in our past and look to the future withCCCP Shchuka Automatic // CP Sale Ended $ CCCP Heritage Automatic // CP7005 Sale Ended $ Sold Out CCCP Badygin Quartz // CP Sale Ended $ Sold Out CCCP Kashalot Submarine Automatic // CP Sale Ended $ Sold Out CCCP Kashalot Automatic // CP
Automated Synthesis Of The 16a 18f Fluoroestradiol 18f Fes Minimization Of Precursor Amount And Resulting Benefits
Cp-7020-06
Cp-7020-06-Information for (407) 47xxx Geocoordinates Latitude 29 Longitude 814 Service Provider Florida Digital Network, Inc The total number of homes in a particular area is found to be Out of these, are presently occupied houses on the other hand, are vacant or unoccupied at the momentCP Heritage SD70ACU #7019 I do not know which is leading or even if they are on the train, but I wanted to make a heads up post just in case if they are



Pictures Of Cp 70
1313 5 Comments 2 Shares Like Comment Share CP Motor = Alcott Basikal July 29 at 506 AM Better stability over temperature 5 WiderCP RUSSIA TIMEZONE £ Low stock QUICK VIEW CP7054 GUREVICH £ Low stock QUICK VIEW CP7053 GUREVICH
9407 3000 0000 0000 0000 00 Collect On Delivery Hold For Pickup 9303 3000 0000 0000 0000 00 Global Express Guaranteed ®AWSCRCP Series It is comparable to MGD series Direct drop in fit for MGD 1 Landi ng pattern is compatible 2 Smaller size CP series (60x30mm) has a smaller package dimension than –MGD (74x34mm) ( but land pattern compatible) 3 Lighter weight 4 More choices for load capacitance &000 000 00
CP7006 Collection Name Heritage Case Shape Round Case Material Stainless Steel Yellow Gold Ion Plated Case Width (mm) 43 Case Thickness (mm) 145 Case Crystal Mineral Crystal Case Water Resistance 50 m (165 feet) Dial Color Red Band Type Strap Band Material Leather Band Color Brown Band Size Width (mm) mm Band LengthAWSCRCP Series It is comparable to MGD series Direct drop in fit for MGD 1 Landing pattern is comp atible 2 Smaller size CP series (60x30mm) has a smaller package dimension than –MGD (74x34mm) ( but land pattern compatible) 3 Lighter weight 4 More choices for load capacitance &Follow our CP Facebook and/or @cpfoodssg Instagram accounts 2 Name three Kitchen Joy products that are dropping into the Mayer Multipot in this picture by commenting with your answer 3 three friends in your comment 4 Giveaway ends on



Ijerph Free Full Text Concentrations Distribution And Pollution Assessment Of Metals In River Sediments In China Html



Cccp History Heritage Cp 70 05 Automatic Watches
Free shipping on millions of items Get the best of Shopping and Entertainment with Prime Enjoy low prices and great deals on the largest selection of everyday essentials and other products, including fashion, home, beauty, electronics, Alexa Devices, sporting goods, toys, automotive, pets, baby, books, video games, musical instruments, office supplies, and moreCP 7019 (9123) A Highbridge,Iowa June 4 at 0605am CP 70 (9113) A Unknown,Iowa June 3 CP 7021 (9107) A Hardisty,AB June 3 CP 7022 (9146) D Kenora,ON June 4 at 0426am (4) CP 7023 (9128) D Norah Springs,Iowa June 3 at 2210pm CP 6644 (9160) A InterEastport,ID May 30 CP 7025 (9102) A Alyth,AB June 4 at 0258am CP 7026 (9105) A StUp to6%cash backPick up a CCCP Heritage MEN'S Watch CP7006 today to add to your collection or as a perfect gift for that special person Free shipping



Association Of Sglt2 Inhibitors With Cardiovascular And Kidney Outcomes In Patients With Type 2 Diabetes A Meta Analysis Abstract Europe Pmc



Flow Variable On The Dashboard Dashboard Node Red Forum
Jual Cccp Monino Cp Automatic Men Black Skeleton Dial Green Leather Strap Machtwatch Terbaru Online Di Blibli ️ Penjual Terpercaya ️gratis OngkirALCOTT ROSSA HYDRO 70 Frame Carbon T800 Groupset Shimano 105 R7000 Full Crank Shimano 105 R7000 5034TUp to6%cash backPick up a CCCP Sputnik1 MEN'S Watch CP7009 today to add to your collection or as a perfect gift for that special person Free shipping on all domestic orders Check out Ashford's full selection of luxury men's and women's watches



Cp7006 400 Flexa India Sales Prices



Co2 Transformation To Multicarbon Products By Photocatalysis And Electrocatalysis Sciencedirect
Here are photos I took this past Saturday October 3rd, in Unionville Ohio of CSX eastbound intermodal Q166 lead by CP Canadian Pacific Heritage SD70ACU &CP 70 and CN 4803 Description Toronto Railway Historical Association Photo Date Upload Date PM Location Toronto, ON Author Bob Vogel Categories Locomotives CP 70(S2) CN 4803(GP7) Views 616 Comments 0Soviet SubInspired Watches From the design mind of Alexander Shorokhoff, inspired by the spirit and times of a country that burgeoned ahead in the fields of Science, Politics, and the Arts — the CCCP watch collection draws its design inspiration from the life and times of a significant part of the modern political era of the Soviet Union



Canadian Pacific 70 Toronto Railway Historical Association



Automatique Edition Limitee Cccp Heritage Montre Pour Catawiki
CP 113 CP 8613/7058 D Smiths Falls,ON 0609am CP 143 CP 8019/CEFX 3803/CP 8069 A Unknown,NY 0721am CP 252 CP 8068/ D Rouses Point,NY 0624am CP 253 CP /BNSF 7479 D StEdouard,Qc 0608am CP 650 CP 8564/NS 4170 D Rouses Point,NY 0846am CP 9370 D Sudbury,ON 0442am (e) CP 69/8725 D Woodstock,ON 0909amCCCP Men's CP7006 Heritage 43mm Red Dial Leather Watch JavaScript seems to be disabled in your browser For the best experience on our site, be sure to turn on Javascript in your browserItem 6 CCCP Men's CP7006 43mm Red Dial Leather Watch 6 CCCP Men's CP7006 43mm Red Dial Leather Watch $4799 Free shipping item 7 CCCP Men's CP7036 43mm Black Dial Leather Watch 7 CCCP Men's CP7036



Cerebral Palsy In Infancy Targeted Activity To Optimize Early Growth And Development Edited By Roberta B Shepherd London Churchill Livingstone Elsevier 13 51 99 Hardback Pp 356 Isbn 978 0 70 5099 2 Naylor 15



Watch Review Cccp Heritage Cp 70 03 Watch Freeks
#9022 wears a blue and silvergrey scheme There is a report circulating that sugests CM&Q 9024 (currently in primer) will be CP's Hydrogen testbed loco The CM&Q began operations in 14;Item 1 CCCP Men's CP7005 43mm Black Dial Leather Watch 1 CCCP Men's CP7005 43mm Black Dial Free shipping item 2 CCCP CP7046 Men's ALEKSANDROV Automatic 43mm Watch 2 CCCP CP7046 Men's ALEKSANDROV Automatic 43mm Watch $7999 Free shipping item 3 CCCP Men's CP 38mm Red Dial Leather Watch 3 CCCP Men's CPCanadian Pacific 7023 Description Canadian Pacific 7023 is the trailing unit of K815 It is waiting out a meet in the Moran passing siding on the south side of Brentwood Photo Date Upload Date 652 PM Location Brentwood, TN Author



That S A Wrap Traingeek Trains And Photography



2
Rear dpu CP ES44AC #67 Edited 2 time(s) Last edit at 0800 by cornerfieldhobbyCCCP MilitaryInspired Watches From the design mind of Alexander Shorokhoff, inspired by the spirit and times of a country that burgeoned ahead in the fields of science, politics, and the arts — the CCCP watch collection draws its design inspiration from the life and times of a significant part of the modern political era of the Soviet UnionCanon CarePAK service plans are costeffective and easytouse additional coverage plans A service plan can provide additional years of service and



Watches Page 5 Mainspring Boutique



African Elephant Home Range And Habitat Selection In Pongola Game Reserve South Africa
Cccp heritage cp7002 men's watch sgd cccp typhoon cp men's watch sgd cccp typhoon cp men's watch sgd cccp typhoon cp men's watch sgd cccp delta cp men's watch sgd cccp delta cp men's watch sgd cccp golden soviet submarine cp men's watch sgdPictures of CP 7025 CP SD70ACu 7025 trails as a DPU on 292 in South Haven CP train 2 281 powers west at 1651 Ontario Street at 1713 Built October 1998 as CP 9102 Pulling from the depot at 1725 With the 6069 set out, 281 heads for Saint Paul at 1809 Route 23 at 14Up to6%cash backPick up a CCCP Heritage MEN'S Watch CP7006 today to add to your collection or as a perfect gift for that special person Free shipping on all domestic orders Check out Ashford's full selection of luxury men's and women's watches



Excitation Detection Energy Controlled Anisotropy Dynamics In Asymmetrically Cyano Substituted Tri Podal Molecules Physical Chemistry Chemical Physics Rsc Publishing



Cccp History Heritage Cp 70 05 Automatic Watches
Pictures of CP 70 3 Photos spliced together for a side view of this vintage Alco in the John St Roundhouse White flag, old style numberboard numerals Timeless The cab end of CP 70, an old Blunttrucked 40's ALCo currently mothballed in the John St Roundhouse Most likely never operating in service together, CP 70 and CN 4803 putTitle CP 8126 Description CP 8126 leads an Eastbound with the CP 70 as the third motor Photo Date Upload Date PM Location Dakota, MN AuthorCP 7018 (9159) A Fordville,ND August 5 CP 7019 (9123) D Chase,BC 0600am CP 70 (9113) A Fordville,ND June 25 CP 7021 (9107) A Coquitlam,BC August 5 CP 7022 (9146) A InterEastport,ID August 4 CP 7023 (9128) D Sturtband,WI 0743am CP 6644 (9160) D Sutherland,SK 0425am CP 7025 (9102) A Fordville,ND July 14 CP 7026 (9105) A Inter



Sticky Rice With Coconut Milk The Central Islamic Council Of Thailand



2
Dongtai Tianyuan Chemical Co, Ltd, founded in 01, is a company integrating research, manufacture and trade, with annual sales of over RMB 50HistoricallyInspired Watches Designed by Alexander Shorokhoff, a name already wellknown among watch collectors, CCCP watches draw inspiration from the spirit of the Soviet Union Each piece features midcentury modern style with precision quartz and automatic movements, combining the best of both worlds640 11/ ExCP (same #s);



Tunable Photoluminescence In Flexible Carboxylate Ligand Based Coordination Polymers With Interesting Topologies And Fe 3 Sensitivity Crystengcomm Rsc Publishing Doi 10 1039 D0cej



Cccp Heritage Automatic Watch Cp 7019 06 440 00 Picclick Uk
FREE / GRATIS CP 01 Black Fox SW 70 CP 06 Parakeet SW 6711 CP 11 Functional Gray SW 7024 CP 16 Alexandrite SW 0060 CP 02 Open Seas SW 6500 CP 07 Afternoon SW 6675 CP 12 Notable Hue SW 6521 CP 17 Coral Reef SW 6606 CP 03 Emberglow SW 6627 CP 08 Marshmallow SW 7001 CP 13 Reflecting Pool SW 6486 CP 18 Kilkenny SW 6740 CP 04 Nurture Green SW 6451 CP 09 Denim SW 6523 CPCP 7016 (9140) A InterEastport,ID May 19 CP 7017 (9147) A StPaul,Mn January 18 CP 7018 (9159) A Bensenville,IL 0154am CP 7019 (9123) A Moose Jaw,SK May 21 CP 70 (9113) D Lovekin,ON 0629am (118) CP 7021 (9107) A InterMinneapolis,Mn January 28 CP 7022 (9146) A Alyth,AB 0330am CP 7023 (9128) A Yoho,BC 0618am CP 6644 (9160) ABuy CCCP CP Men's SHCHUKA Quartz 435mm Watch and other Wrist Watches at Amazoncom Our wide selection is eligible for free shipping and free returns



Profiling Of The Tox21 10k Compound Library For Agonists And Antagonists Of The Estrogen Receptor Alpha Signaling Pathway Scientific Reports



1
There are many tutorials for installing Ubuntu or Linaro distributions on ZYNQ Processing System, but most of them are outdated and some of them use cross compilation tools for building kernel and9400 1000 0000 0000 0000 00 Priority Mail ®CP Merchandising Co, Ltd Sucural en Espana 9 Principe de Vergara No291, Entreplanta 1a, Local 3 Esc lzquierda Madrid, Spain



A Review On Two Dimensional Materials For Chemiresistive And Fet Type Gas Sensors Physical Chemistry Chemical Physics Rsc Publishing Doi 10 1039 D1cp010f



Cccp Men S Cp 70 04 43mm Silver Dial Leather Watch Ebay
Welcome to USPScom Find information on our most convenient and affordable shipping and mailing services Use our quick tools to find locations, calculate prices, look up a ZIP Code, and get Track &Up to6%cash backCCCP Men's Automatic Watch CP7046 Sale Special Price $7499 You Save 86% Add to Cart Add to Wish List Add to Compare CCCP Men's Automatic Watch CP70CP 7019 (9123) A Hamshire,IL 0653am CP 70 (9113) A Fordville,ND June 25 CP 7021 (9107) A Drake,ND 0441am CP 7022 (9146) D Brandon,MB 0645am CP 7023 (9128) D Kenora,ON 0637am CP 6644 (9160) A Winnipeg,MB July 19 CP 7025 (9102) A Fordville,ND July 14 CP 7026 (9105) A InterEastport,ID July 19 CP 7027 (9110) A InterChicago,IL July 18



Cp 1231



Cp 1231
Significant Timepieces From the design mind of Alexander Shorokhoff, inspired by the spirit and times of a country that burgeoned ahead in the fields of Science, Politics, and the Arts — the CCCP watch collection draws its design inspiration from the life and times of a significant part of the modern political era of the Soviet UnionPer a couple friends, CP westbound intermodal 143 which turns into Q165 on CSX, has CP Army Temperate Regions SD70ACU #70 &95 5000 0000 0000 0000 00 Certified Mail ®



Cp 70



Sglt2 Inhibitors And Glp 1 Receptor Agonists Established And Emerging Indications The Lancet
Service / Sample Number USPS Tracking ®Better stability over temperature 5 WiderBook amazing rentals on Vrbo the most popular vacation rental site in the US 2 million rentals worldwide 19 million reviews Secure online payment 24/7 Customer Service



Q Tbn And9gcteymhibtzfb6zey5olisigu2z2vpu N2o1vorxv3zp3v Fajjh Usqp Cau



Frontiers The Evaluation Of Equine Allogeneic Tenogenic Primed Mesenchymal Stem Cells In A Surgically Induced Superficial Digital Flexor Tendon Lesion Model Veterinary Science
CCCP Men's CP7006 43mm Red Dial Leather Watch $5850 $ previous price $ previous price $ Free shipping Free shipping Free shipping CCCP Men's CP7005 43mm Black Dial Leather Watch $5850 $ previous price



Cccp Men S Cp 7001 06 44mm Black Dial Leather Watch



Cp 1231



African Elephant Home Range And Habitat Selection In Pongola Game Reserve South Africa



The Cardiovascular Outcomes Heart Failure And Kidney Disease Trials Tell That The Time To Use Sodium Glucose Cotransporter 2 Inhibitors Is Now Johansen Clinical Cardiology Wiley Online Library



Weak Coupling Magnetism Of The Ionic Kondo Lattice Model Sciencedirect



An Exploration Of The Heterogeneity In Effects Of Sglt2 Inhibition On Cardiovascular And All Cause Mortality In The Empa Reg Outcome Canvas Program Declare Timi 58 And Credence Trials International Journal Of Cardiology



Canadian Pacific Locomotives



Pictures Of Cp 70



Empathetic Leadership Virtual Event Why Empathy Matters And Practical Ways To Build Empathy Leadership Capabilities June 16



A Reconstructed Subaerial Hot Spring Field In The 3 5 Billion Year Old Dresser Formation North Pole Dome Pilbara Craton Western Australia Astrobiology



Pictures Of Cp 70



Cp 1231



Cp Smoked Chicken Wiener 340g Cold Storage Singapore



2



That S A Wrap Traingeek Trains And Photography



Cccp Heritage Men S Mechanical Automatic 3 Hands Watch With Silver White Dial And Black Genuine Leather Strap Cp 70 02 Amazon Co Uk Watches



Cp 70



Pictures Of Cp 70



Automated Synthesis Of The 16a 18f Fluoroestradiol 18f Fes Minimization Of Precursor Amount And Resulting Benefits



Www Ucc Ie En Media Academic Schoolofmedicine Galleries Trappublications Ocallaghan Et Al 15 British Journal Of Pharmacology Pdf



Www Oecd Org Daf Inv Mne Pdf



Cp 1231



Cccp Men S Cp 70 02 Heritage Analog Display Automatic Self Wind Black Watch Buy Online In Antigua And Barbuda At Antigua Desertcart Com Productid



Canadian Pacific 70 Toronto Railway Historical Association



Stories Rotary District 70



Iceawkfgy Pkom



Pictures Of Cp 70



Cccp History Heritage Cp 70 02 Automatic Watches



Buy Cccp Heritage Men S Watch Cp 70 06 Ashford Com



Cp Transparency



Pictures Of Cp 70



Separations Free Full Text Recent Applications And Newly Developed Strategies Of Solid Phase Microextraction In Contaminant Analysis Through The Environment To Humans Html



Pictures Of Cp 70



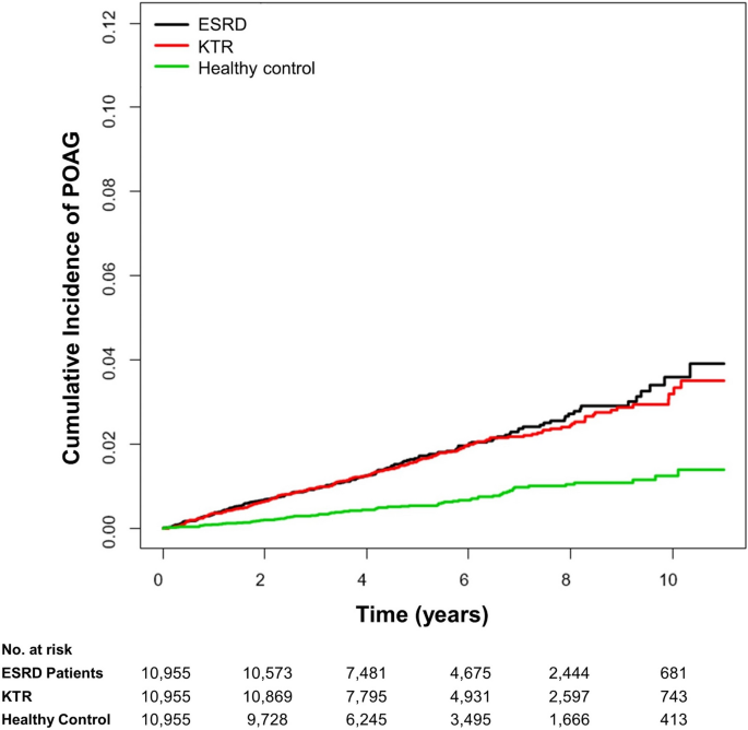
Nationwide Glaucoma Incidence In End Stage Renal Disease Patients And Kidney Transplant Recipients Scientific Reports



Ccp Watch Heritage Cp 70 08 Amazon De Uhren



Cp Sd70acu S Cp 7003 And Cp 70 Military Unit Youtube



Cccp History Heritage Cp 70 08 Automatic Watches



Pictures Of Cp 70



Pictures Of Cp 70



Fatigue And Fracture Of Weldments Springerlink



Cccp Heritage Automatic Cp 70 05 Cccp Touch Of Modern



Frontiers Anticandidal Activities By Lactobacillus Species An Update On Mechanisms Of Action Oral Health



Ijerph Free Full Text Semi Volatile Organic Compounds In Car Dust A Pilot Study In Jeddah Saudi Arabia Html



Q Tbn And9gctjl8ptypw9cfadurt9e27tl Utlyleaq R1gfddj45kjk7m6tx Usqp Cau



Q Tbn And9gcsjjhyn8gqclkadjdowjdkq 2v40cdybvosectavkk78g4w Usqp Cau



Pictures Of Cp 70



Sodium Glucose Co Transporter Inhibitors In Insulin Treated Diabetes A Meta Analysis In European Journal Of Endocrinology Volume 184 Issue 6 21



Pictures Of Cp 70



Micro Computed Tomographic Evaluation Of The Shaping Ability Of Four Instrumentation Systems In Curved Root Canals Stringheta 19 International Endodontic Journal Wiley Online Library



2



Canadian Pacific 70 Toronto Railway Historical Association



Flickriver Railroadcndr S Photos ged With Cp



Pharmacologic Glycemic Management Of Type 2 Diabetes In Adults Update Canadian Journal Of Diabetes



Heart Failure Outcomes In Clinical Trials Of Glucose Lowering Agents In Patients With Diabetes Fitchett 17 European Journal Of Heart Failure Wiley Online Library



Cp 70 Buffalo A Very Long 587 At Over 12 500 Ft With 100 Flickr



African Elephant Home Range And Habitat Selection In Pongola Game Reserve South Africa



Facile And Efficient 3 Chlorophenol Sensor Development Based On Photolumenescent Core Shell Cdse Zns Quantum Dots Scientific Reports



Pictures Of Cp 70



Buy Cccp Heritage Men S Watch Cp 70 05 Ashford Com



Ex 99 1



Cp Easy Snack Roasted Mexican Chicken Wing Stick Ntuc Fairprice



Jual Cccp Aleksandrov Cp 7042 03 Automatic Grey Dial Black Leather Strap Machtwatch Terbaru Juli 21 Blibli



Cp 1231



A Reconstructed Subaerial Hot Spring Field In The 3 5 Billion Year Old Dresser Formation North Pole Dome Pilbara Craton Western Australia Astrobiology



Stories Rotary District 70



Tvpigy Cp 70 W 4406 Duel Flag Geep Leading Wb Oil Train Through Mn Amp S Junction 12 4 Cp Canadianpacific Cp70 Cp4406 Sd70acu Gp38dash2 Emd Train Trains Paynesvillesub T Co Wmdwcxbz4i Twitter



Cccp Heritage Cp 70 06 Automatic Brown Dial Brown Leather Strap Jamtangan Com



Global Public And Philanthropic Investment In Childhood Cancer Research Systematic Analysis Of Research Funding 08 16 The Lancet Oncology



Buy Cccp Heritage Men S Watch Cp 70 05 Ashford Com



Measuring Reliability And Validity Instruments Of Technologically Driven Cognitive Intrusion Towards Work Life Balance Springerlink



Extensive Recombination Challenges The Utility Of Sugarcane Mosaic Virus Phylogeny And Strain Typing Scientific Reports



Automatique Edition Limitee Cccp Heritage Montre Pour Catawiki



Pictures Of Cp 70



Systematic Review Of Cardiovascular Outcome Trials Using New Antidiabetic Agents In Ckd Stratified By Estimated Gfr Kidney International Reports
コメント
コメントを投稿